Skip to content Skip to sidebar Skip to footer

Widget HTML #1

How To Find The Sum Of A Series Formula - The formula for the sum of an infinite series is related to the formula for the sum of the first latexn/latex terms of a geometric series.

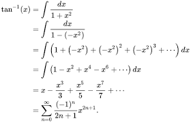
How To Find The Sum Of A Series Formula - The formula for the sum of an infinite series is related to the formula for the sum of the first latexn/latex terms of a geometric series.. The sequence of partial sums of a series sometimes tends to a real limit. The formula for the sum of an infinite series is related to the formula for the sum of the first latexn/latex terms of a geometric series. Sum of terms of a sequence is known as the sum of series. The step by which to increase n for each term in the series. An infinite series is given by all the terms of an infinite sequence, added together.

What are some examples of infinite series? The formula for the sum of an infinite series is related to the formula for the sum of the first latexn/latex terms of a geometric series. The step by which to increase n for each term in the series. The initial power to which you want to raise x. Seriessum(x, n, m, coefficients) the seriessum function syntax has the following arguments:

How To Find The Sum Of An Arithmetic Series Formula
How To Find The Sum Of An Arithmetic Series Formula from www.tutorialgateway.org
The formula for the sum of an infinite series is related to the formula for the sum of the first latexn/latex terms of a geometric series. An infinite series is given by all the terms of an infinite sequence, added together. Returns the sum of a power series based on the formula: ▶︎ the arithmetic series formula is also known as the partial sum formula. The sequence of partial sums of a series sometimes tends to a real limit. Sum of terms of a sequence is known as the sum of series. The sum is always 11. 11 + 11 + 11 + 11 + 11 = 5 × 11 = 55.

The sum of the power series;

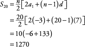
Notice also that 5 × 11 =. Returns the sum of a power series based on the formula: An infinite series is given by all the terms of an infinite sequence, added together. How do you calculate the sum of a series? What are some examples of infinite series? The formula for the sum of an infinite series is related to the formula for the sum of the first latexn/latex terms of a geometric series. ▶︎ the arithmetic sequence formula is incorporated/embedded in the partial sum formula. What is the formula for series? What is the formula for infinite geometric sequence? Seriessum(x, n, m, coefficients) the seriessum function syntax has the following arguments: 1 1 n a a qn = ⋅ − a a ai i i= ⋅− +1 1 1 1 n n a q a s q − = − 1 (1) 1 n n a q s q − = − 1 1 fo 1 1 a s q r q− − = < < 2. Given here is the sum of series formula to calculate the summation of sequences. A finite series is given by all the terms of a finite sequence, added together.

Returns the sum of a power series based on the formula: Special power series powers of natural numbers ( ) 1 1 1 2 n k k n n = ∑ = + 2 ( )( ) 1 1 1 2 1 6 n k k n n n = ∑ = + + 3 2 ( )2 1 1 1 4 n k 11 + 11 + 11 + 11 + 11 = 5 × 11 = 55. Seriessum(x, n, m, coefficients) the seriessum function syntax has the following arguments: Given here is the sum of series formula to calculate the summation of sequences.

Question Video Finding The Sum Of A Given Arithmetic Series Nagwa
Question Video Finding The Sum Of A Given Arithmetic Series Nagwa from media.nagwa.com
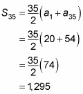
The sequence of partial sums of a series sometimes tends to a real limit. ▶︎ the arithmetic series formula is also known as the partial sum formula. Notice also that 5 × 11 =. The initial power to which you want to raise x. The formula for the sum of an infinite series is related to the formula for the sum of the first latexn/latex terms of a geometric series. ▶︎ the partial sum formula can be described in words as the product of the average of the first and the last terms and the total number of terms in the sum. The sum of the power series; A finite series is given by all the terms of a finite sequence, added together.

Sum of terms of a sequence is known as the sum of series.

Notice also that 5 × 11 =. Sum of terms of a sequence is known as the sum of series. An infinite series is given by all the terms of an infinite sequence, added together. What is the formula for series? The formula for the sum of an infinite series is related to the formula for the sum of the first latexn/latex terms of a geometric series. Given here is the sum of series formula to calculate the summation of sequences. The input value to the power series. A finite series is given by all the terms of a finite sequence, added together. The sum of the power series; 1 + 2 + 3 + 4 + 5 + 6 + 7 + 8 + 9 + 10 = 55. As you can see instead of adding all the terms in the sequence, you can just do 5 × 11 since you will get the same answer. ▶︎ the partial sum formula can be described in words as the product of the average of the first and the last terms and the total number of terms in the sum. Returns the sum of a power series based on the formula:

The sum of the power series; 1 + 2 + 3 + 4 + 5 + 6 + 7 + 8 + 9 + 10 = 55. What are some examples of infinite series? The step by which to increase n for each term in the series. Given here is the sum of series formula to calculate the summation of sequences.

How To Find The Sum Of A Geometric Sequence Owlcation
How To Find The Sum Of A Geometric Sequence Owlcation from images.saymedia-content.com
An infinite series is given by all the terms of an infinite sequence, added together. ▶︎ the arithmetic sequence formula is incorporated/embedded in the partial sum formula. ▶︎ the arithmetic series formula is also known as the partial sum formula. The step by which to increase n for each term in the series. The input value to the power series. The initial power to which you want to raise x. What are some examples of infinite series? The sum is always 11.

Sum of terms of a sequence is known as the sum of series.

How do you calculate the sum of a series? What is the formula for infinite geometric sequence? Returns the sum of a power series based on the formula: The formula for the sum of an infinite series is related to the formula for the sum of the first latexn/latex terms of a geometric series. Seriessum(x, n, m, coefficients) the seriessum function syntax has the following arguments: The step by which to increase n for each term in the series. The sequence of partial sums of a series sometimes tends to a real limit. ▶︎ the arithmetic sequence formula is incorporated/embedded in the partial sum formula. The initial power to which you want to raise x. What is the formula for series? As you can see instead of adding all the terms in the sequence, you can just do 5 × 11 since you will get the same answer. What are some examples of infinite series? ▶︎ the arithmetic series formula is also known as the partial sum formula.

11 + 11 + 11 + 11 + 11 = 5 × 11 = 55 how to find the sum of a series. The input value to the power series.